Hình chóp cụt là gì? Cách tính thể tích hình chóp cụt, diện tích xung quanh và diện tích toàn phần của hình chóp cụt? Tất cả sẽ được giải đáp qua bài viết dưới đây.

NỘI DUNG BÀI VIẾT
Định nghĩa hình chóp cụt
Hình chóp cụt là một phần của khối đa diện, nằm giữa mặt đáy và thiết diện cắt bởi mặt phẳng song song với đáy của hình chóp.

- Hình gồm các đa giác A1A2...An, B1B2...Bn và các hình thang A1A2B2B1, A2A3B3B2, ..., AnA1B1Bn được gọi là một hình chóp cụt, kí hiệu là A1A2...AnB1B2...Bn.
- Một cách đơn giản, hình chóp cụt được tạo thành từ hình chóp SA1A2...An sau khi cắt đi hình chóp SB1B2...Bn.
- Các đa giác A1A2...An, B1B2...Bn được gọi là hai mặt đáy.
- Các hình thang A1A2B2B1 ,A2A3B3B2, ..., AnA1B1Bn được gọi là các mặt bên.
- Các đoạn thẳng A1B1, A2B2, ..., AnBn được gọi là các cạnh bên, các cạnh của mặt đáy được gọi là các cạnh đáy.
- Khoảng cách giữa hai mặt đáy được gọi là chiều cao của hình chóp cụt.
Tính chất của hình chóp cụt
- Hai đáy là hai đa giác (hình tam giác, tứ giác, ngũ giác,…) có các cạnh tương ứng song song và tỉ số các cạnh tương ứng bằng nhau.
- Các mặt bên đều là những hình thang.
- Các đường thẳng chứa các cạnh bên sẽ đồng quy tại một điểm (đỉnh của hình chóp).
- Hình chóp cụt đều là hình chóp cụt có các mặt đáy là hình đa giác đều (có các cạnh bằng nhau). Do đó, các mặt bên của hình chóp cụt đều là những hình thang cân bằng nhau.
Công thức tính diện tích hình chóp cụt

Diện tích xung quanh hình chóp cụt
Diện tích xung quanh hình chóp cụt là diện tích của các mặt xung quanh, phần bao quanh hình chóp cụt, không gồm diện tích hai đáy.
Cách tính diện tích xung quanh của hình chóp cụt: Tính diện tích từng mặt bên (các hình thang) của hình chóp cụt theo công thức tính diện tích hình thang bình thường, sau đó tính tổng diện tích.
Công thức tính diện tích hình chóp cụt đều:

Trong đó:
- Sxq: diện tích xung quanh
- n: số lượng mặt bên của hình chóp cụt (bằng số cạnh của đa giác đáy)
- a, b: chiều dài cạnh của lần lượt 2 đáy trên và dưới
- h: chiều cao của các tứ giác mặt bên.
Ví dụ 1: Tính diện tích xung quanh của hình chóp cụt tứ giác đều có các cạnh đáy bằng 10cm và 15cm, chiều cao của mặt bên bằng 12cm.

Giải:
Mặt bên hình chóp cụt tứ giác đều là hình thang cân nên diện tích một mặt bên là:
Hình chóp cụt tứ giác đều có 4 mặt bên bằng nhau nên diện tích xung quanh bằng:
150 x 4 = 600 (cm2)
Ví dụ 2: Tính diện tích xung quanh của hình chóp cụt tứ giác đều có các cạnh đáy bằng 6cm và 8cm, chiều cao của mặt bên bằng 5cm.Tính diện tích xung quanh của hình chóp cụt tứ giác đều có các cạnh đáy bằng 6cm và 8cm.

Giải:
Mặt bên hình chóp cụt tứ giác đều là hình thang cân nên diện tích một mặt bên bằng:
Hình chóp cụt tứ giác đều có 4 mặt bên bằng nhau nên diện tích xung quanh bằng:
35 x 4 = 140 (cm2)
Diện tích toàn phần của hình chóp cụt
Diện tích toàn phần của hình chóp cụt bằng tổng diện tích xung quanh và diện tích 2 mặt đáy
Công thức: Stp = Sxq + Sđáy_lớn + Sđáy_nhỏ
Trong đó:
- Stp: Diện tích toàn phần
- Sxq: Diện tích xung quanh
- Sđáy_lớn: Diện tích đáy lớn
- Sđáy_nhỏ: Diện tích đáy nhỏ
Ví dụ: Tính diện tích toàn phần của hình chóp cụt đều theo các kích thước cho trên hình.

Giải:
Ta có:
AD = 12 ⇒ OJ = 6
Kẻ II1 ⊥ OJ ta có: I1J = 3
Áp dụng định lí pi-ta-go vào tam giác vuông II1J ta có:
IJ2 = II12 + I1J2 = 92 + 32 = 90
Suy ra:
Diện tích mặt một bên là một hình thang bằng:
Diện tích xung quanh bằng:
Diện tích đáy trên bằng: S = 6 x 6 = 36(đvdt)
Diện tích đáy dưới bằng: S= 12 x 12 =144 (đvdt)
Diện tích toàn phần của hình chóp cụt bằng:
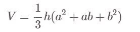
Công thức tính thể tích hình chóp cụt
Công thức:

Trong đó:
- V: Thể tích hình chóp cụt
- S, S’: Lần lượt là diện tích mặt đáy lớn và đáy nhỏ của hình chóp chụt
- h: Chiều cao của hình chóp, tức là khoảng cách giữa 2 mặt đáy lớn và đáy nhỏ
Hình chóp cụt có là hình vuông (tứ giác đều):

Trong đó:
- V: Thể tích
- h: Chiều cao của hình chóp
- a, b: Lần lượt là chiều dài cạnh của mặt đáy lớn và đáy nhỏ